Наш Засновник
20 років Фонду
Про Фонд
Місія та цінності
Конкурси та тендери
Робота у Фонді
Звіти та презентації
Свідоцтво про державну реєстрацію
Програми
Рінат Ахметов – Порятунок життів
Рінат Ахметов - Допоможемо
Рінат Ахметов - Дітям
Реалізовані проекти та програми
Новини
Новини Фонду
Відео галерея
Контакти
Всі категорії |
Всі категорії
Новости фонда
Видео галерея
Ринат Ахметов – Поможем
Ринат Ахметов – Спасение жизней
Ринат Ахметов – Детям
Гаряча лінія
0800509001
ua
en
ua
en
Наш Засновник
20 років Фонду
Про Фонд
Місія та цінності
Конкурси та тендери
Робота у Фонді
Звіти та презентації
Свідоцтво про державну реєстрацію
Програми
Рінат Ахметов – Порятунок життів
Рінат Ахметов - Допоможемо
Рінат Ахметов - Дітям
Реалізовані проекти та програми
Новини
Новини Фонду
Відео галерея
Контакти
Головна
-
Останні новини Фонду
-
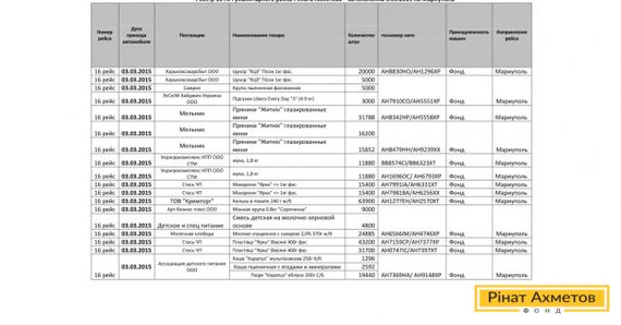
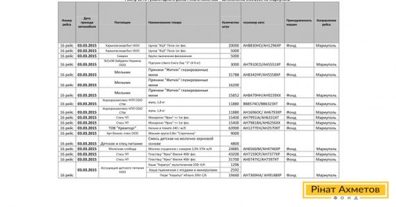
Реєстр першої автоколони 16-го Гуманітарного рейсу Ріната Ахметова. Колона виїхала 3.03.2015
Реєстр першої автоколони 16-го Гуманітарного рейсу Ріната Ахметова. Колона виїхала 3.03.2015
03.03.2015
Поділитись новиною:
До інших новин
Караван добра: шість років тому Фонд Ріната Ахметова відправив на Донбас першу автоколону з гуманітарною допомогою
22.08.2020
Детальніше
Близько 19 500 мирних жителів Донбасу отримають допомогу Ріната Ахметова в березні
27.02.2020
Детальніше
Допомогу Ріната Ахметова в лютому отримають майже 19 000 мирних жителів Донбасу
24.01.2020
Детальніше
Показати більше
X